Fundamental Signal Processing - CTFS, CTFT


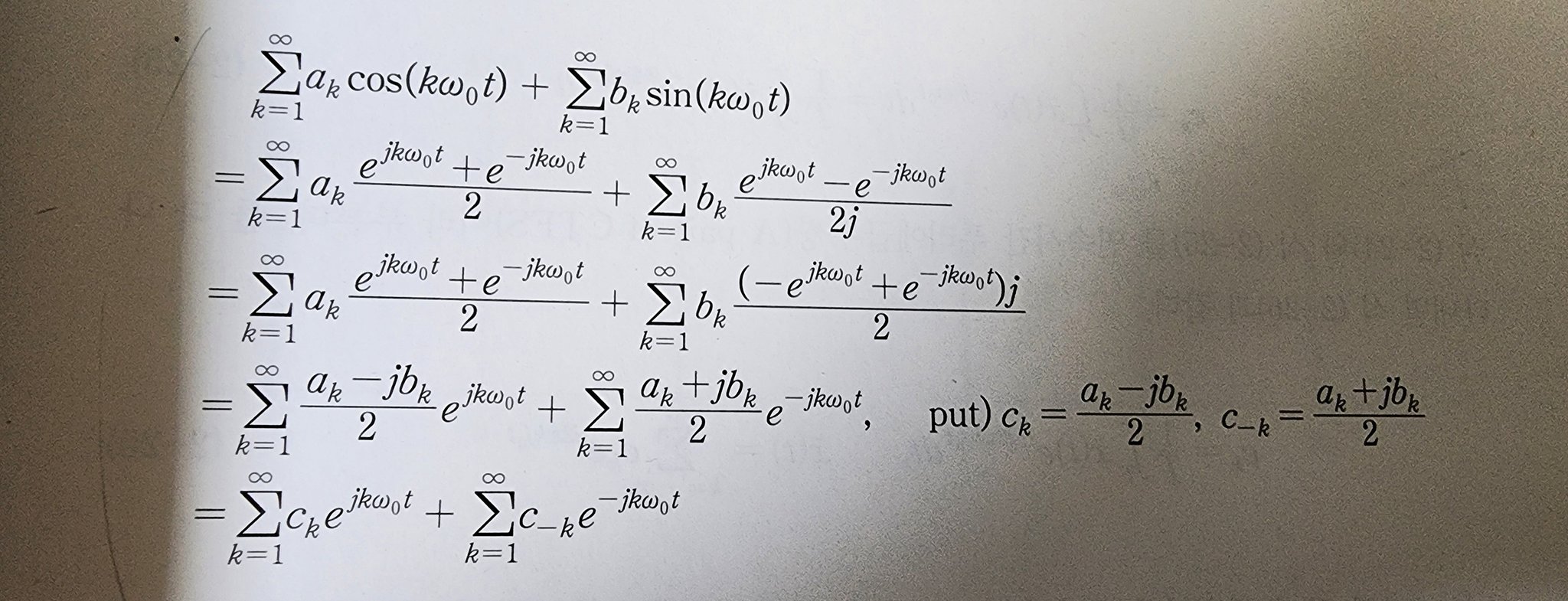
1) Continues Time Fourier Series(CTFS)




2) Fourier Transform single periodic Square Wave => "Sinc Function"



3 and 4) Exercise Fourier Series(CTFS)

5) T=1 Sinc Function


※) Reference from: 하석운 - "파이썬으로 배우는 디지털 신호처리"


#Harvard #MIT #Scientist #Artist #Audio #Signal_Processing #Fourier_Transform #Youngchul_Jang

댓글 1
제목작성자날짜
공지 380163176
공지 844114931
악보 요청 0181
악보 요청 0248
악보 요청 0442
피아노 토크 0469
건의사항 0724
악보 요청 0825
악보 요청 01270
건의사항 01771
악보 요청 02230
건의사항 02189